Other Industries
DTAS Solution: Single‑Hole Pin Floating Analysis
Summary
This case validates tolerance simulation accuracy by comparing theoretical and simulated results for a single‑hole pin floating scenario. The work provides a theoretical verification framework, bridging practical modeling with core engineering principles.
#Dimensional Tolerance Analysis #Dimensional Engineering #Tolerance Simulation

In the previous section, we addressed the following question:
Question: Ignoring hole‑pin diameter tolerances, what is the vertical displacement of the pin when it floats tangentially?
Using DTAS 3D, we constructed a virtual pin‑hole assembly with a vertical measurement axis, ran 5,000 Monte Carlo simulations, and obtained the animation and statistical results shown above. The output shows:
•Max/min displacement: ±5 mm
•Mean: ≈0
•Variance: 12.517
•Histogram distribution: non‑normal, with a distinct shape

Simulation Animation

Simulation Results
In this section, we disregard the diameter tolerance of the pin and change the pin to uniform floating, with the pin fluctuating vertically.

After switching to uniform floating, the mean remains near zero and the variance decreases to 4.176, reflecting more consistent dispersion. We will now derive this value mathematically.
I. Mathematical Model
The practical problem is expressed mathematically as follows:
The random variable θ is uniformly distributed over [0, 2π), with probability density function:

The random variable R is uniformly distributed, and its probability density function (pdf) is:

Now, what are the statistical parameters of the random variable
II. Theoretical Mean, Variance & Standard Deviation
Mathematically, this involves the distribution of a product of two independent random variables in a joint probability framework.
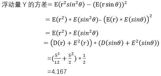
From earlier results:
•R has expectation 5/2 and variance 25/12.
•sin θ has expectation 0 and variance 1/2 .
Since R and θ are independent, we can derive the moments of accordingly.



The theoretical standard deviation is 2.044, consistent with the simulation result within engineering tolerance.
If the pin diameter varies by ±1 with a 6σ normal distribution under tangential floating, R becomes normally distributed. Applying the same derivation yields a theoretical standard deviation of 3.539.

III. Engineering Insights
Verification Method: Compare theoretical distributions with simulation results to validate tolerance analysis. This approach also explains the use of skewed amplitude distributions in 3D tolerance modeling.
Assumption & Reality: Modeling pin float with uniform radius distribution simplifies simulation but may not reflect actual assembly behavior. Later discussions will address how to more accurately simulate true positional uniformity.
Get Detailed Info: Pricing, Specs & Support
Please contact our team for more information on product pricing, technical data, project support, and more
Request A Trial